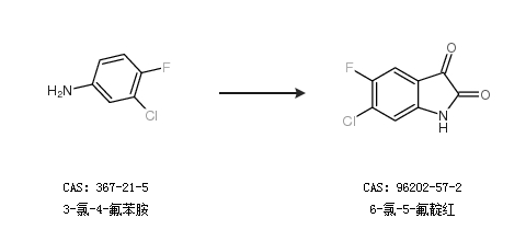
基本信息:
中文名稱 6-氯-5-氟靛紅
英文名稱 6-chloro-5-fluoro-1H-indole-2,3-dione
英文別名 6-CHLORO-5-FLUOROINDOLINE-2,3-DIONE;6-chloro-5-fluoro-isatin;BH151;5-FLUORO-6-CHLORO ISATIN;
CAS號 96202-57-2
合成路線:
1.通過3-氯-4-氟苯胺和水合氯醛合成6-氯-5-氟靛紅

2.通過3-氯-4-氟苯胺合成6-氯-5-氟靛紅

中華試劑網(wǎng)提醒 合成路線僅供參考