基本信息:
中文名稱 7-氯-4-肼基-2-甲基喹啉
英文名稱 (7-chloro-2-methylquinolin-4-yl)hydrazine
英文別名 7-chloro-2-methyl-4-quinolylhydrazine;F1174-3121;7-CHLORO-4-HYDRAZINYL-2-METHYLQUINOLINE;7-CHLORO-4-HYDRAZINO-2-METHYLQUINOLINE;2-metil-4-idrazino-7-clorochinolina;
CAS號(hào) 97892-66-5
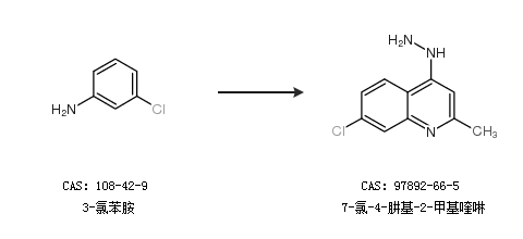
合成路線:
1.通過(guò)4,7-二氯-2-甲基喹啉合成7-氯-4-肼基-2-甲基喹啉,收率約91%;

2.通過(guò)3-氯苯胺合成7-氯-4-肼基-2-甲基喹啉

中華試劑網(wǎng)提醒 合成路線僅供參考