基本信息:
中文名稱(chēng) 1,2-雙(二苯基膦)乙烷一氧化物
中文別名 [2-(二苯基膦)乙基]二苯基氧化膦;
英文名稱(chēng) 1,2-BIS(DIPHENYLPHOSPHINO)ETHANE MONOOXIDE
英文別名 AURORA KA-1612;tetraphenylethylenediphosphine monoxide;Tetraphenylethylenediphosphine monooxide;
CAS號(hào) 984-43-0
合成路線:
1.通過(guò)1,2-雙(二苯基膦)乙烷合成1,2-雙(二苯基膦)乙烷一氧化物,收率約84%;

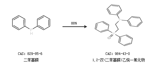
2.通過(guò)二苯基膦合成1,2-雙(二苯基膦)乙烷一氧化物,收率約88%;

中華試劑網(wǎng)提醒 合成路線僅供參考