基本信息:
中文名稱 (1R,2R)-(2-羥基-1-羥基甲基-丙基)-氨基甲酸叔丁酯
英文名稱 tert-Butyl ((2R,3R)-1,3-dihydroxybutan-2-yl)carbamate
英文別名 N-BOC-L-THREONOL;
CAS號 99216-67-8
合成路線:
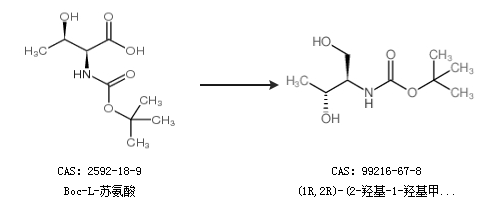
1.通過Boc-L-蘇氨酸合成(1R,2R)-(2-羥基-1-羥基甲基-丙基)-氨基甲酸叔丁酯

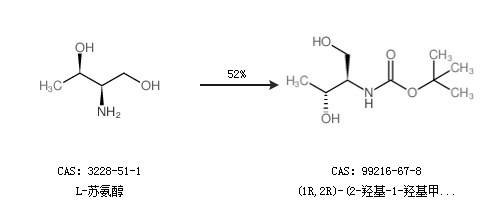
2.通過L-蘇氨醇合成(1R,2R)-(2-羥基-1-羥基甲基-丙基)-氨基甲酸叔丁酯,收率約52%;

中華試劑網(wǎng)提醒 合成路線僅供參考