基本信息:
中文名稱 N-亞硝基二異丁胺
中文別名 N-亞硝基二異丁基胺;亞硝基二異丁基胺;
英文名稱 N,N-bis(2-methylpropyl)nitrous amide
英文別名 Diisobutylamine,N-nitroso;diisobutyl-nitroso-amine;Diisobutylnitrosamin;Diisobutylnitrosamine;Diisobutyl-nitroso-amin;N,N-Diisobutylnitrous amide;N,N-Diisobutylnitrosamine;Nitrosodiisobutylamine;Dmdpn;N-nitroso-di-iso-butylamine;
CAS號 997-95-5
合成路線:
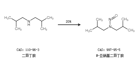
1.通過二異丁胺合成N-亞硝基二異丁胺,收率約20%;

2.通過三異丁基胺和四硝基甲烷合成N-亞硝基二異丁胺

中華試劑網(wǎng)提醒 合成路線僅供參考