基本信息:
中文名稱 (2S)-2-氨基丁酰胺
中文別名 L-ALFA-氨基丁酸胺;
英文名稱 (2S)-2-aminobutanamide
英文別名 I14-4102;(2S)-2-aminobutyramide;L-2-Amino-butyramid;(S)-2-aminobutyramide;(S)-2-amino-butanamide;
CAS號 143164-46-9
合成路線:
1.通過DL-2-氨基丁酸甲酯鹽酸鹽合成(2S)-2-氨基丁酰胺

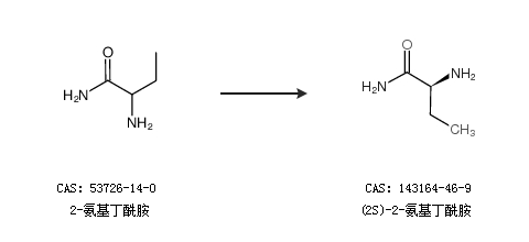
2.通過2-氨基丁酰胺合成(2S)-2-氨基丁酰胺

中華試劑網(wǎng)提醒:合成路線僅供參考