基本信息:
中文名稱 (2S,3R)-N-叔丁氧羰基-3-苯甲酰氧基-2-吡咯烷甲酸甲酯
英文名稱 2-Methyl 1-(2-methyl-2-propanyl) (2S,3R)-3-(benzoyloxy)-1,2-pyrro lidinedicarboxylate
英文別名 (2S,3R)-N-tert-butyloxycarbonyl-3-benzoyloxy-2-pyrrolidine carboxylic acid methyl ester;(2S,3R)-N-methyl-N-(Z)-styryl-3-phenyloxirane-2-carboxamide;(2S,3R)-N-tert-Butoxycarbonyl-3-benzoyloxy-2-pyrrolidinecarboxylic acid methyl ester;(2S,3R)-N-tert-butoxycarbonyl-3-benzyloxy-2-pyrrolidine carboxylic acid methyl ester;(+)-N-methyl-N-[(Z)-styryl]-3-phenyloxirane-2-carboxamide;
CAS號 496841-07-7
合成路線:
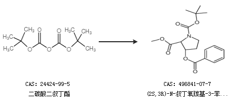
1.通過二碳酸二叔丁酯合成(2S,3R)-N-叔丁氧羰基-3-苯甲酰氧基-2-吡咯烷甲酸甲酯

2.通過反-3-羥基-L-脯氨酸合成(2S,3R)-N-叔丁氧羰基-3-苯甲酰氧基-2-吡咯烷甲酸甲酯

中華試劑網(wǎng)提醒:合成路線僅供參考