基本信息:
中文名稱 (2S,4s)-4-甲基谷氨酸
英文名稱 (2S,4S)-2-amino-4-methylpentanedioic acid
英文別名 L-threo-|A-Methylglutamic Acid;L-threo-|A-Methylglutamate;4-methyl-L-glutamic acid;threo-4-Methyl-L-glutamic Acid;
CAS號(hào) 6141-27-1
合成路線:
1.通過L-焦谷氨酸合成(2S,4s)-4-甲基谷氨酸

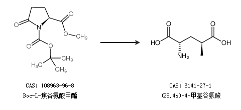
2.通過Boc-L-焦谷氨酸甲酯合成(2S,4s)-4-甲基谷氨酸

中華試劑網(wǎng)提醒:合成路線僅供參考