基本信息:
中文名稱 (S)-(+)-1-芐氧基-2-丙醇
中文別名 苯基(S)-(+)-2-羥基丙醚;(S)-1-O-芐基丙二醇;
英文名稱 (S)-(+)-1-Benzyloxy-2-Propanol
英文別名 (S)-(+)-1,2-Propanediol 1-benzyl ether;(2S)-1-benzyloxypropan-2-ol;(R)-(-)-1-Benzyloxy-2-propanol;(R)-1-O-Benzylpropylene glycol;(S)-1-(benzyloxy)propan-2-ol;2-Propanol,1-(phenylmethoxy)-,(2R);(R)-1-(Benzyloxy)propan-2-ol;(s)-(-)-1-Benzyloxy-2-propanol;
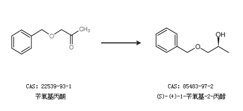
CAS號 85483-97-2
合成路線:
1.通過芐氧基丙酮合成(S)-(+)-1-芐氧基-2-丙醇

2.通過(S)-(+)-1,2-丙二醇、芐基氯和叔丁基二甲基氯硅烷合成(S)-(+)-1-芐氧基-2-丙醇

中華試劑網(wǎng)提醒:合成路線僅供參考