基本信息:
中文名稱 1-(3,4-二羥基苯基)-3-甲基-1-丁酮
英文名稱 1-(3,4-dihydroxyphenyl)-3-methylbutan-1-one
英文別名 3'',4''-Dihydroxyisovalerophenone;ISOVALEROPHENONE,3'',4''-DIHYDROXY;Isovalerophenone,4''-dihydroxy;
CAS號 67239-25-2
合成路線:
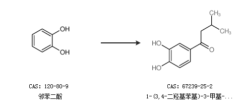
1.通過鄰苯二酚合成1-(3,4-二羥基苯基)-3-甲基-1-丁酮

2.通過鄰苯二酚和異戊酰氯合成1-(3,4-二羥基苯基)-3-甲基-1-丁酮

中華試劑網(wǎng)提醒:合成路線僅供參考