基本信息:
中文名稱 1-(3-氨基-1-苯并呋喃-2-基)乙酮
英文名稱 1-(3-amino-1-benzofuran-2-yl)ethanone
英文別名 2-acetyl-3-aminobenzofuran;2-Acetyl-3-amino-1-benzofuran;3-Amino-2-acetyl-benzo<b>furan;3-amino-2-acetylbenzofuran;
CAS號 49615-96-5
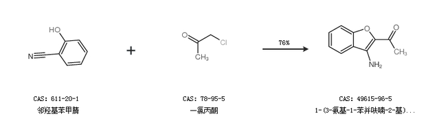
合成路線:
1.通過鄰羥基苯甲腈和一氯丙酮合成1-(3-氨基-1-苯并呋喃-2-基)乙酮,收率約76%;

2.通過鄰羥基苯甲腈和溴丙酮合成1-(3-氨基-1-苯并呋喃-2-基)乙酮,收率約52%;

中華試劑網(wǎng)提醒:合成路線僅供參考