基本信息:
中文名稱 1-(4-吡啶)-4-哌啶酮
英文名稱 1-PYRIDIN-4-YLPIPERIDIN-4-ONE
英文別名 4-(4-oxopiperidin-4-yl)pyridine;1-(pyridin-4-yl)-4-piperidone;1-(pyridin-4-yl)-4-piperidinone;1-(pyridin-4-yl)-4-oxopiperidine;2,3,5,6-tetrahydro-[1,4'']bipyridinyl-4-one;4-Piperidinone,1-(4-pyridinyl);1-(4-pyridyl)-4-piperidone;1-(pyridin-4-yl)piperidin-4-one;1-(4-pyridinyl)-4-Piperidinone;
CAS號(hào) 126832-81-3
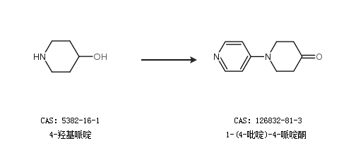
合成路線:
1.通過(guò)8-吡啶-4-基-1,4-二噁-8-氮雜螺[4.5]癸烷合成1-(4-吡啶)-4-哌啶酮,收率約98%;

2.通過(guò)4-羥基哌啶合成1-(4-吡啶)-4-哌啶酮

中華試劑網(wǎng)提醒:合成路線僅供參考