基本信息:
中文名稱 1-(6-溴-2-吡啶)-1-乙醇
中文別名 1-(6-溴-2-嘧啶基)乙醇;
英文名稱 1-(6-Bromopyridin-2-yl)ethanol
英文別名 1-(6-Bromo-2-pyridinyl)ethanol;
CAS號 139163-56-7
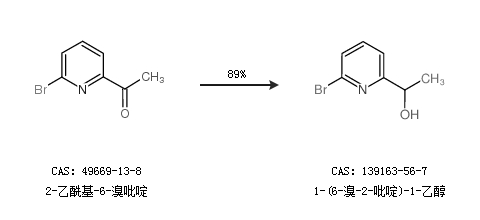
合成路線:
1.通過2-乙?;?6-溴吡啶合成1-(6-溴-2-吡啶)-1-乙醇,收率約89%;

2.通過2,6-二溴吡啶和乙醛合成1-(6-溴-2-吡啶)-1-乙醇,收率約73%;

中華試劑網(wǎng)提醒:合成路線僅供參考