基本信息:
中文名稱(chēng) 1-(氨基甲基)環(huán)己烷甲醇
英文名稱(chēng) [1-(aminomethyl)cyclohexyl]methanol
英文別名 3-amino-2,2-pentamethylenepropanol;1-Aminomethyl-1-hydroxymethyl-cyclohexan;
CAS號(hào) 2041-57-8
合成路線:
1.通過(guò)1-氰基環(huán)己烷羧酸乙酯合成1-(氨基甲基)環(huán)己烷甲醇,收率約84%;

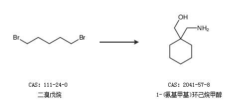
2.通過(guò)二溴戊烷合成1-(氨基甲基)環(huán)己烷甲醇

中華試劑網(wǎng)提醒:合成路線僅供參考