基本信息:
中文名稱 1,3-己二烯
中文別名 1-乙基-1,3-丁二烯;1,3-己二烯;
英文名稱 1,3-HEXADIENE
英文別名 1,3-Hexadiene(c,t);(E)-1,3-Hexadiene;(3E)-1,3-Hexadiene;hexadiene1,3;cis,trans-hexa-1,3-diene;methyl pentadiene;hexa-1,3-diene;C2H5CH=CHCH=CH2;
CAS號 592-48-3
合成路線:
1.通過1-己烯-3-醇合成1,3-己二烯,收率約46%;

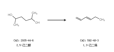
2.通過2,5-己二醇合成1,3-己二烯

中華試劑網(wǎng)提醒:合成路線僅供參考