基本信息:
中文名稱 1,4-二羥基蒽醌-2-磺酸
英文名稱 1,4-dihydroxy-9,10-dioxoanthracene-2-sulfonic acid
英文別名 Quinizarin-3-sulfonic acid;1,4-Dihydroxyanthraquinone-2-sulfonic acid;quinizarin-2-sulfonic acid;Quinizarin-3-sulphonic acid;Morocco Maroon X-1550;9,10-Dihydro-1,4-dihydroxy-9,10-dioxo-2-anthracenesulfonic acid;Rufianic acid;Quinizarinsulfonic acid;2-sulpho-1,4-dihydroxyanthraquinone;C.I. Pigment Violet 5;2-quinizarinsulphonic acid;Helio Fast Rubine 4BLA;2-sulfoquinizarine;1,4-dihydroxy-9,10-dioxo-9,10-dihydro-anthracene-2-sulfonic acid;
CAS號 145-48-2
合成路線:
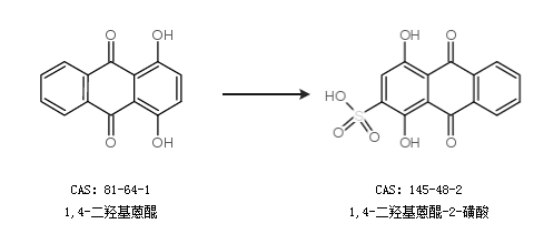
1.通過1,4-二羥基蒽醌合成1,4-二羥基蒽醌-2-磺酸

2.通過1,4-二羥基蒽醌和水合成1,4-二羥基蒽醌-2-磺酸

中華試劑網(wǎng)提醒:合成路線僅供參考