基本信息:
中文名稱 1-Boc-3-羥基吡咯烷
中文別名 (R)-1-BOC-3-羥基吡咯烷;
英文名稱 1-Boc-3-Hydroxypyrrolidine
英文別名 tert-Butyl 3-hydroxypyrrolidine-1-carboxylate;1-Boc-3-pyrrolidinol;1-(tert-Butoxycarbonyl)-3-hydroxypyrrolidine;tert-butyl 3-hydroxypyrrolidine-1-carboxylate;1-(tert-Butoxycarbonyl)-3-pyrrolidinol;1-Boc-3-hydroxypyrrolidine;N-Boc-3-pyrrolidinol;
CAS號 103057-44-9
合成路線:
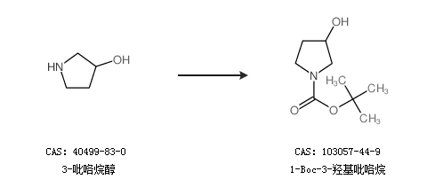
1.通過3-吡咯烷醇合成1-Boc-3-羥基吡咯烷

2.通過(R)-3-羥基吡咯烷鹽酸鹽合成1-Boc-3-羥基吡咯烷

中華試劑網(wǎng)提醒:合成路線僅供參考