基本信息:
中文名稱 1-氨基-4-羥基蒽醌
中文別名 分散橙HFFG;1-氨基-4-羥基-9,10-蒽二酮;1-羥基-4-氨基蒽醌;分散耐曬桃紅B;
英文名稱 1-Amino-4-hydroxyanthraquinone
英文別名 1-amino-4-hydroxyanthracene-9,10-dione;Celliton Fast Pink B;
CAS號 116-85-8
合成路線:
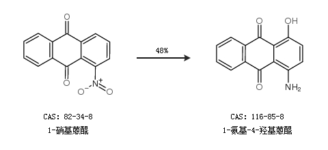
1.通過1-硝基蒽醌合成1-氨基-4-羥基蒽醌,收率約48%;

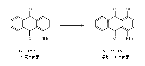
2.通過1-氨基蒽醌合成1-氨基-4-羥基蒽醌

中華試劑網(wǎng)提醒:合成路線僅供參考