基本信息:
中文名稱 2(3H)-5-溴苯并噻唑酮
中文別名 5-溴-2(3H)-苯并噻唑酮;
英文名稱 5-bromo-3H-1,3-benzothiazol-2-one
英文別名 5-bromobenzo[d]thiazol-2(3H)-one;5-Bromo-2(3H)-benzothiazolone;5-bromo-1,3-benzothiazol-2(3H)-one;5-bromobenzothiazol-2-ol;
CAS號(hào) 199475-45-1
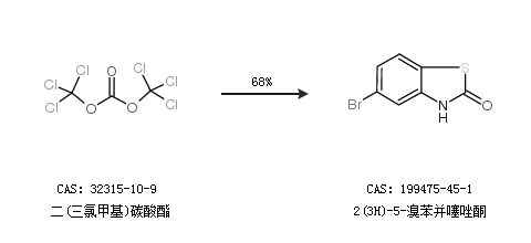
合成路線:
1.通過(guò)二(三氯甲基)碳酸酯合成2(3H)-5-溴苯并噻唑酮,收率約68%;

中華試劑網(wǎng)提醒:合成路線僅供參考