基本信息:
中文名稱 2-(4-(4-氯苯氧基)苯氧基)丙酸
中文別名 力平之(非諾貝特);
英文名稱 clofop
英文別名 2-[4''-(4''''-chlorophenoxy)phenoxy]-propionic acid;rac-(2R)-2-[4-(4-chlorophenoxy)phenoxy]propanoic acid;fenofibric acid;D-2-[4-(4-chlorophenoxy)-phenoxy]-propionic acid;LF 479;2-[4-(4-chlorophenoxy)phenoxy]propanoic acid;D-2-[p-(p-chlorophenoxy)phenoxy]propionic acid;HCG 004;2-(4-(4-Chlorophenoxy)phenoxy)propanoic acid;(RS)-2-[4-(4-chlorophenoxy)phenoxy]propionic acid;Clofop [ISO];
CAS號 26129-32-8
合成路線:
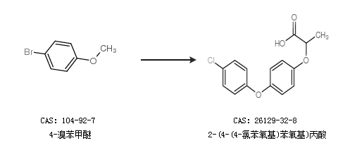
1.通過4-溴苯甲醚合成2-(4-(4-氯苯氧基)苯氧基)丙酸

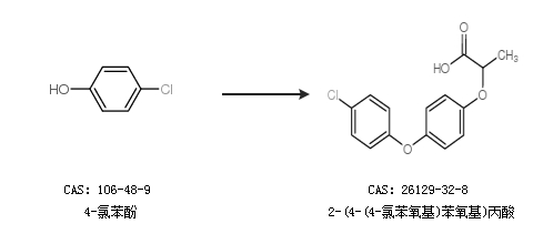
2.通過4-氯苯酚合成2-(4-(4-氯苯氧基)苯氧基)丙酸

中華試劑網(wǎng)提醒:合成路線僅供參考