基本信息:
中文名稱 2,2,4-戊烷三羧酸三乙酯
英文名稱 triethyl 1-methylbutane-1,1,3-tricarboxylate
英文別名 triethyl pentane-2,2,4-tricarboxylate;2-ethoxycarbonyl-2,4-dimethyl-pentanedioic acid diethyl ester;pentane-2,2,4-tricarboxylic acid triethyl ester;
CAS號 57197-29-2
合成路線:
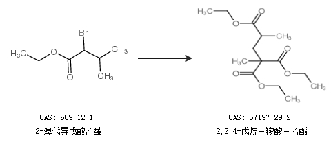
1.通過2-溴代異戊酸乙酯合成2,2,4-戊烷三羧酸三乙酯

2.通過甲基丙二酸和甲基丙烯酸乙酯合成2,2,4-戊烷三羧酸三乙酯

中華試劑網(wǎng)提醒:合成路線僅供參考