基本信息:
中文名稱 2,3,3'',4,4'',5''-六氯聯(lián)苯
中文別名 2,3,3’,4,4’,5’-六溴聯(lián)苯醚;
英文名稱 2,3,3'',4,4'',5''-Hexachlorobiphenyl
英文別名 1,2,3-trichloro-4-(3,4,5-trichlorophenyl)benzene;
CAS號(hào) 69782-90-7
合成路線:
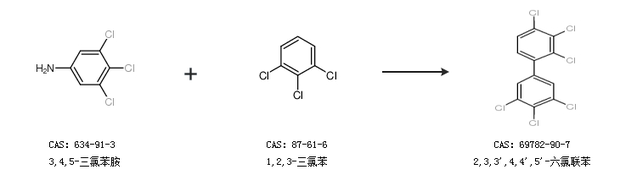
1.通過3,4,5-三氯苯胺和1,2,3-三氯苯合成2,3,3'',4,4'',5''-六氯聯(lián)苯

中華試劑網(wǎng)提醒:合成路線僅供參考