基本信息:
中文名稱 2,3-二氯-6,7-二甲基喹喔啉
中文別名 2,3-二氯-6,7-二甲基喹噁啉;
英文名稱 2,3-dichloro-6,7-dimethylquinoxaline
英文別名 2,3,5-TRIFLUOROPHENYLISOTHIOCYANATE;6,7-dimethyl-2,3-dichloroquinoxaline;2,3-dichloro-6,7-dimethyl-quinoxaline;HMS2744L17;
CAS號 63810-80-0
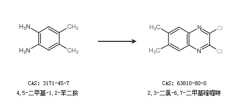
合成路線:
1.通過1,4-二氫-6,7-二甲基-2,3-喹喔啉二酮合成2,3-二氯-6,7-二甲基喹喔啉,收率約94%;

2.通過4,5-二甲基-1,2-苯二胺合成2,3-二氯-6,7-二甲基喹喔啉

中華試劑網(wǎng)提醒:合成路線僅供參考