基本信息:
中文名稱 2,3-二氫-3-甲基-6-(4-吡啶)-2-硫氧代-4(1H)-嘧啶酮
英文名稱 3-methyl-6-pyridin-4-yl-2-sulfanylidene-1H-pyrimidin-4-one
英文別名 4(1H)-Pyrimidinone,2,3-dihydro-3-methyl-6-(4-pyridinyl)-2-thioxo;2-mercapto-3-methyl-6-(pyridin-4-yl)pyrimidin-4(3H)-one;
CAS號(hào) 521969-43-7
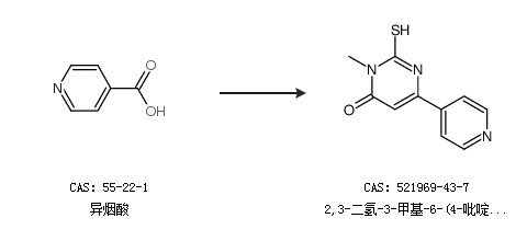
合成路線:
1.通過異煙酰乙酸乙酯和N-甲基硫脲合成2,3-二氫-3-甲基-6-(4-吡啶)-2-硫氧代-4(1H)-嘧啶酮,收率約74%;

2.通過異煙酸合成2,3-二氫-3-甲基-6-(4-吡啶)-2-硫氧代-4(1H)-嘧啶酮

中華試劑網(wǎng)提醒:合成路線僅供參考