基本信息:
中文名稱 2,3-二硝基氧基-丁二酸
英文名稱 2,3-dinitrooxybutanedioic acid
英文別名 2,3-dinitrooxy-butanedioic acid;2,3-Bis(nitrooxy)succinic acid;di-O-nitro-tartaric acid;2,3-DIFLUORO-4-IODO-PHENYLACETALDEHYDE;EINECS 210-211-1;tartaric acid dinitrate;Di-O-nitro-weinsaeure;Butanedioic acid,2,3-bis(nitrooxy);
CAS號(hào) 610-20-8
合成路線:
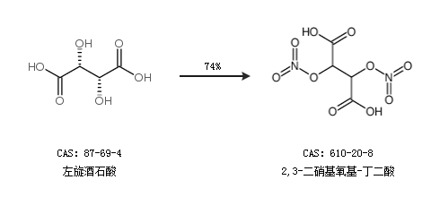
1.通過左旋酒石酸合成2,3-二硝基氧基-丁二酸,收率約74%;

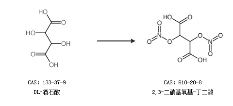
2.通過DL-酒石酸合成2,3-二硝基氧基-丁二酸

中華試劑網(wǎng)提醒:合成路線僅供參考