基本信息:
中文名稱 2,4-二氯-3-氰基吡啶
中文別名 2''-溴-4-溴苯乙酮;
英文名稱 2,4-dichloropyridine-3-carbonitrile
英文別名 2,4-Dichlor-nicotinonitril;2,4-dichloro-3-cyanopyridine;4,6-dichloro-5-cyanopyridine;2,4-Dichloro-3-Pyridinecarbonitrile;2,4-Dichloronicotinonitrile;2,4-Dichlorocarbonitrile;3-Cyano-2,4-dichloropyridine;
CAS號(hào) 180995-12-4
合成路線:
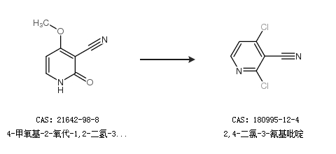
1.通過(guò)4-甲氧基-2-氧代-1,2-二氫-3-氰基吡啶合成2,4-二氯-3-氰基吡啶

中華試劑網(wǎng)提醒:合成路線僅供參考