基本信息:
中文名稱 2,4-二羥基-3-喹啉甲醛
中文別名 2,4-二羥基-3-甲?;?
英文名稱 3-Quinolinecarboxaldehyde (9CI), 1,2-dihydro-4-hydroxy-2-oxo-
英文別名 2,4,6-TRIMETHYLPHENYL ISOTHIOCYANATE;.
Nordictamnal
2,4-Dihydroxy-3-quinolinecarboxaldehyde
3-Formyl-2,4-dihydroxyquinoline;NORDICTAMNAL;3-Quinolinecarboxaldehyde,2,4-dihydroxy;3-FORMYL-2,4-DIHYDROXYQUINOLINE;2,4-dihydroxy-quinoline-3-carbaldehyde;2,4-Dihydroxy-chinolin-3-carbaldehyd;2,4-DIHYDROXY-3-FORMYLQUINOLINE;2,4-DIHYDROXY-3-QUINOLINECARBOXALDEHYDE;
CAS號 529-89-5
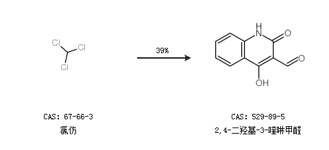
合成路線:
1.通過氯仿合成2,4-二羥基-3-喹啉甲醛,收率約39%;

中華試劑網(wǎng)提醒:合成路線僅供參考