基本信息:
中文名稱 2,8-二氯喹啉-3-甲醛
英文名稱 2,8-Dichloroquinoline-3-carbaldehyde
英文別名 2,8-dichloroquinoline-3-carboxaldehyde;2,5-DIMETHYLTHIOPHENOL;2,8-dichloroquinolin-3-carboxyaldehyde;2,8-DICHLORO-QUINOLINE-3-CARBALDEHYDE;
CAS號 144918-96-7
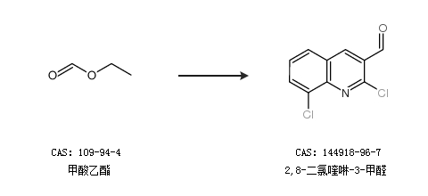
合成路線:
1.通過甲酸乙酯合成2,8-二氯喹啉-3-甲醛

2.通過2,8-二氯喹啉和甲酸乙酯合成2,8-二氯喹啉-3-甲醛

中華試劑網(wǎng)提醒:合成路線僅供參考