基本信息:
中文名稱 2-BIS(4-羥苯基)甲基芐醇
中文別名 2-[雙(4-羥苯基)甲基]芐醇;酚酞醇;2-[雙(4-羥基苯基)甲基]芐醇;2-[二(對羥基苯基)甲基]苯甲醇;
英文名稱 4-[[2-(hydroxymethyl)phenyl]-(4-hydroxyphenyl)methyl]phenol
英文別名 Benzenemethanol,2-[bis(4-hydroxyphenyl)methyl];EINECS 201-386-5;2-[Bis(4-hydroxyphenyl)methyl]benzyl Alcohol;2-(bis(4-hydroxyphenyl)methyl)-benzenemethanol;Egmol;2-(4,4''-dihydroxy-benzhydryl)-benzyl alcohol;Velaxin;Normolax;Regmolax;Phenolphthalol;4''.4''''.21-Trioxy-2-methyl-triphenylmethan;Bis-(4-oxy-phenyl)-(2-oxymethyl-phenyl)-methan;4''.4''''-Dioxy-2-oxymethyl-triphenylmethan;o-(Bis(p-hydroxyphenyl)methyl)benzyl alcohol;2-(4,4''-Dihydroxy-benzhydryl)-benzylalkohol;
CAS號 81-92-5
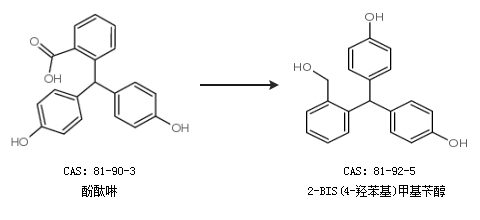
合成路線:
1.通過酚酞啉合成2-BIS(4-羥苯基)甲基芐醇

2.通過酚酞啉和乙酸合成2-BIS(4-羥苯基)甲基芐醇

中華試劑網(wǎng)提醒:合成路線僅供參考