基本信息:
中文名稱 2-丙基戊二酸
英文名稱 2-propylpentanedioic acid
英文別名 2-propyl-glutaric acid;2-Propyl-glutarsaeure;2-PGA;2-Propyl-pentanedioic Acid;n-Propylglutaric acid;Pentanedioic acid,2-propyl;
CAS號(hào) 32806-62-5
合成路線:
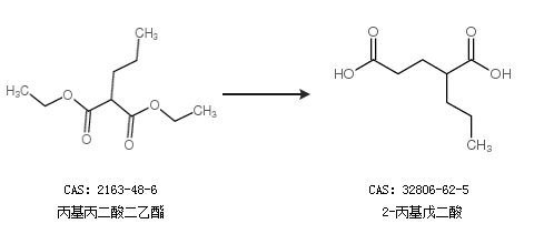
1.通過丙基丙二酸二乙酯合成2-丙基戊二酸

2.通過乙基溴化鎂和丙烯酸甲酯合成2-丙基戊二酸

中華試劑網(wǎng)提醒:合成路線僅供參考