基本信息:
中文名稱 2-氟苯硼酸
中文別名 2-氟苯基硼酸;
英文名稱 2-Fluorophenylboronic acid
英文別名 2-Flurorphenylboronic acid;2-Fluorobenzeneboronic acid o-fluoro-benzeneboronic acid;2-Fluorophenylboronic Acid;RARECHEM AH PB 0215;2-Fluorobenzeneboronicacid;2-Fluorobenzeneboronic Acid;(2-Fluorophenyl)boronic acid;2-Fluorophenylboronic;(ortho-fluorophenyl)boronic acid;O-FLUOROPHENYLBORONIC ACID;2-fluoro phenyl boronic acid;2-Fluorophenylboroni;o-fluorobenzeneboronic acid;
CAS號(hào) 1993-03-9
合成路線:
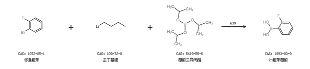
1.通過(guò)鄰溴氟苯、正丁基鋰和硼酸三異丙酯合成2-氟苯硼酸,收率約63%;

2.通過(guò)氟苯和硼酸三異丙酯合成2-氟苯硼酸,收率約92%;

中華試劑網(wǎng)提醒:合成路線僅供參考