基本信息:
中文名稱 2-環(huán)己酮甲酸乙酯
中文別名 乙基2-環(huán)己酮甲酯;2-環(huán)己酮基羧酸乙酯;2-環(huán)已酮甲酸乙酯;鄰環(huán)己酮甲酸乙酯;2-氧代環(huán)己烷甲酸乙酯;
英文名稱 Ethyl 2-oxocyclohexanecarboxylate
英文別名 ethyl 2-oxocyclohexane-1-carboxylate;2-Oxocyclohexanecarboxylic Acid Ethyl Ester;
CAS號 1655-07-8
合成路線:
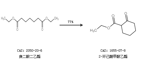
1.通過庚二酸二乙酯合成2-環(huán)己酮甲酸乙酯,收率約77%;

2.通過重氮乙酸乙酯和環(huán)戊酮合成2-環(huán)己酮甲酸乙酯,收率約71%;

中華試劑網(wǎng)提醒:合成路線僅供參考