基本信息:
中文名稱 2-氯-1-(4,5-二氯-2-噻吩)-1-乙酮
英文名稱 2-chloro-1-(4,5-dichlorothiophen-2-yl)ethanone
英文別名 2,3-Dichlor-5-chloracetyl-thiophen;2-chloro-1-(4,5-dichloro-2-thienyl)ethan-1-one;2-chloro-1-(4,5-dichloro-thiophen-2-yl)-ethanone;2-Chloroacetyl-4,5-dichlorothiophene;
CAS號 64218-50-4
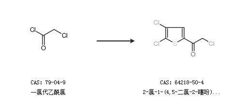
合成路線:
1.通過一氯代乙酰氯合成2-氯-1-(4,5-二氯-2-噻吩)-1-乙酮

中華試劑網(wǎng)提醒:合成路線僅供參考