基本信息:
中文名稱 2-羥基-3-硝基吡啶
中文別名 2-羥基-6-硝基吡啶;
英文名稱 3-Nitro-2-pyridinol
英文別名 3-NITRO-2-PYRIDONE;AURORA KA-2996;2-Hydroxy-3-Nitro;2-hydroxy-3-nitro-pyridine;hydroxynitropyridine;2-HYDRO-3-NITROPYRIDINE;3-Nitro-2-hydroxypyridine;2-Pyridinol,3-nitro;3-NITROPYRIDIN-2-OL;3-nitro-2-pyridino;
CAS號(hào) 6332-56-5
合成路線:
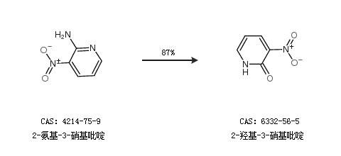
1.通過(guò)2-氨基-3-硝基吡啶合成2-羥基-3-硝基吡啶,收率約87%;

2.通過(guò)2-氯-3-硝基吡啶合成2-羥基-3-硝基吡啶,收率約99%;

中華試劑網(wǎng)提醒:合成路線僅供參考