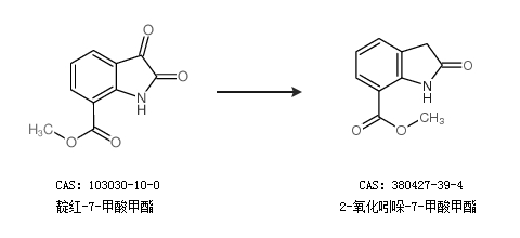
基本信息:
中文名稱 2-氧化吲哚-7-甲酸甲酯
中文別名 吲哚酮-7-羧酸甲酯;2-吲哚酮-7-甲酸甲酯;
英文名稱 Methyl oxindole-7-carboxylate
英文別名 Methyl 2-oxoindoline-7-carboxylate;methyl 2-oxo-1,3-dihydroindole-7-carboxylate;
CAS號(hào) 380427-39-4
合成路線:
1.通過靛紅-7-甲酸甲酯合成2-氧化吲哚-7-甲酸甲酯

中華試劑網(wǎng)提醒:合成路線僅供參考