基本信息:
中文名稱(chēng) 3-(4-溴苯基)環(huán)丁烷酮
中文別名 3-(4-溴苯基)環(huán)丁酮;
英文名稱(chēng) 3-(4-bromophenyl)cyclobutan-1-one
英文別名 3-(4-BROMOPHENYL)-CYCLOBUTANE-1-ONE;3-(4-Bromophenyl)cyclobutanone;Cyclobutanone,3-(4-bromophenyl);
CAS號(hào) 254892-91-6
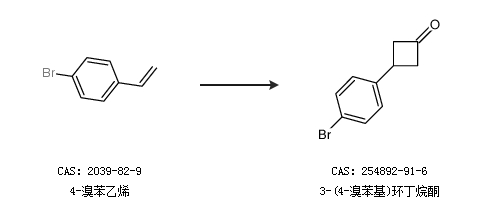
合成路線:
1.通過(guò)4-溴苯乙烯和N,N-二甲基乙酰胺合成3-(4-溴苯基)環(huán)丁烷酮

2.通過(guò)4-溴苯乙烯合成3-(4-溴苯基)環(huán)丁烷酮

中華試劑網(wǎng)提醒:合成路線僅供參考