基本信息:
中文名稱 3-氨基-5-叔丁基噻吩-2-羧酸甲酯
英文名稱 Methyl 3-amino-5-(tert-butyl)thiophene-2-carboxylate
英文別名 methyl 3-amino-5-tert-butylthiophene-2-carboxylate;
CAS號(hào) 175137-03-8
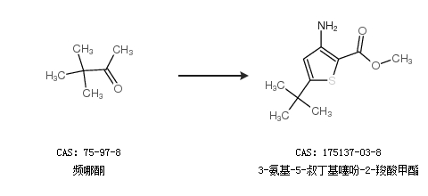
合成路線:
1.通過(guò)巰基乙酸甲酯和3-氯-4,4-二甲基戊-2-烯腈合成3-氨基-5-叔丁基噻吩-2-羧酸甲酯,收率約91%;

2.通過(guò)頻哪酮合成3-氨基-5-叔丁基噻吩-2-羧酸甲酯

中華試劑網(wǎng)提醒:合成路線僅供參考