基本信息:
中文名稱 3-甲基-2-氧基戊酸
中文別名 3-甲基-2-氧代戊酸;DL-3-甲基-2-氧戊酸;3-甲基-2-氧代戊酸;
英文名稱 3-methyl-2-oxovaleric acid
英文別名 2-Oxo-3-methylvaleric acid;2-KETO-3-METHYLVALERIC ACID;3-METHYL-2-OXOVALERIC ACID;METHYLETHYLPYRUVIC ACID;
CAS號 1460-34-0
合成路線:
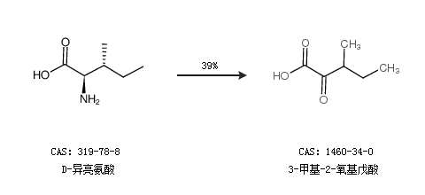
1.通過D-異亮氨酸合成3-甲基-2-氧基戊酸,收率約39%;

2.通過(2S3S)-2-羥基-3-甲基戊酸合成3-甲基-2-氧基戊酸

中華試劑網(wǎng)提醒:合成路線僅供參考