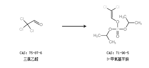
基本信息:
中文名稱 3-甲氧基芐胺
英文名稱 2,2-dichloroethenyl dipropan-2-yl phosphate
英文別名 Phosphorsaeure-diisopropylester-(2,2-dichlor-vinylester);Phosphorsaeure-(2,2-dichlor-vinylester)-diisopropylester;Phosphoric acid,2,2-dichloroethenyl bis(1-methylethyl) ester;O,O-Diisopropyl-O-dichlorvinyl-phosphat;Phosphoric acid,2,2-dichlorovinyl diisopropyl ester;2,2-Dichlorovinyl diisopropyl phosphate;Diisopropyl dichlorvinyl phosphat [German];phosphoric acid-(2,2-dichloro-vinyl ester)-diisopropyl ester;
CAS號 71-96-5
合成路線:
1.通過三異丙基亞磷酸酯和三氯乙醛合成3-甲氧基芐胺

2.通過三氯乙醛合成3-甲氧基芐胺

中華試劑網(wǎng)提醒:合成路線僅供參考