基本信息:
中文名稱 4-(1,3-二氧代異吲哚啉-2-基)丁酰氯
英文名稱 1-(2-Phthalimidobutyryl)chloride
英文別名 4-(1,3-dioxoisoindol-2-yl)butanoyl chloride;
CAS號 10314-06-4
合成路線:
1.通過4-(1,3-二氧代異吲哚啉-2-基)丁酸合成4-(1,3-二氧代異吲哚啉-2-基)丁酰氯,收率約99%;

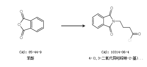
2.通過苯酐合成4-(1,3-二氧代異吲哚啉-2-基)丁酰氯

中華試劑網(wǎng)提醒:合成路線僅供參考