基本信息:
中文名稱 4-(4-氟苯(甲)酰)吡啶
中文別名 4-(4-氟苯甲酰)吡啶;
英文名稱 (4-fluorophenyl)-pyridin-4-ylmethanone
英文別名 (4-fluorophenyl)(4-pyridyl)methanone;4-fluorophenyl 4-pyridyl ketone;(4-fluorophenyl)(4-pyridinyl)methanone;(4-fluoro-phenyl)-pyridin-4-yl-methanone;3fu0;4-(4-fluorobenzoyl)-pyridine;
CAS號(hào) 41538-36-7
合成路線:
1.通過4-氰基吡啶和4-氟苯基溴化鎂合成4-(4-氟苯(甲)酰)吡啶,收率約76%;

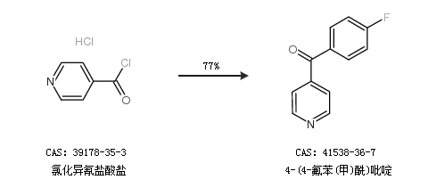
2.通過氯化異氰鹽酸鹽合成4-(4-氟苯(甲)酰)吡啶,收率約77%;

中華試劑網(wǎng)提醒:合成路線僅供參考