基本信息:
中文名稱 4,4,5,5,5-五氟戊酸
英文名稱 4,4,5,5,5-Pentafluoropentanoic acid
英文別名 2H,2H,3H,3H-Perfluoropentanoic acid;
CAS號(hào) 3637-31-8
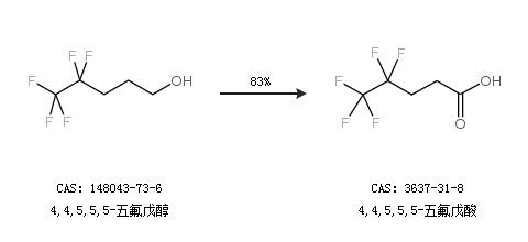
合成路線:
1.通過(guò)4,4,5,5,5-五氟戊醇合成4,4,5,5,5-五氟戊酸,收率約83%;

2.通過(guò)四正丁基硫酸銨和4,4,5,5,5-五氟戊醇合成4,4,5,5,5-五氟戊酸

中華試劑網(wǎng)提醒:合成路線僅供參考