基本信息:
中文名稱 4,4-二乙酰聯(lián)苯
中文別名 對二乙?;?lián)苯;4,4’-二乙酰聯(lián)苯;4,4''-二乙酰聯(lián)苯;
英文名稱 4,4''-Diacetylbiphenyl
英文別名 1-[4-(4-acetylphenyl)phenyl]ethanone;
CAS號 787-69-9
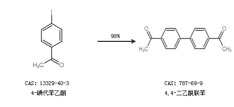
合成路線:
1.通過4-碘代苯乙酮合成4,4-二乙酰聯(lián)苯,收率約98%;

2.通過對氯苯乙酮和4-乙?;脚鹚岷铣?,4-二乙酰聯(lián)苯,收率約10%;

中華試劑網(wǎng)提醒:合成路線僅供參考