基本信息:
中文名稱 4,5-二溴-1,2-苯二胺
中文別名 4,5-二溴鄰苯二胺;1,2-二氨基-4,5-二溴苯;
英文名稱 4,5-Dibromobenzene-1,2-diamine
英文別名 4,5-Dibromo-1,2-phenylenediamine;4,5-dibromobenzene-1,2-diamine;1,2-Diamino-4,5-dibromobenzene;
CAS號 49764-63-8
合成路線:
1.通過1,2-二溴-4,5-二硝基苯合成4,5-二溴-1,2-苯二胺,收率約97%;

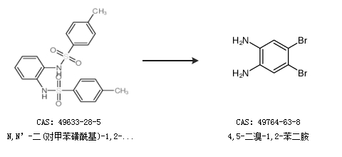
2.通過N,N’-二(對甲苯磺酰基)-1,2-苯二胺合成4,5-二溴-1,2-苯二胺

中華試劑網(wǎng)提醒:合成路線僅供參考