基本信息:
中文名稱(chēng) 4,6-二氯-2-(甲基硫代)嘧啶-5-羧酰胺
英文名稱(chēng) 4,6-Dichloro-2-(methylthio)pyrimidine-5-carboxamide
英文別名 4,6-dichloro-2-methylsulfanylpyrimidine-5-carboxamide;
CAS號(hào) 313339-36-5
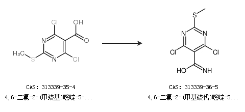
合成路線:
1.通過(guò)4,6-二氯-2-(甲巰基)嘧啶-5-甲酸合成4,6-二氯-2-(甲基硫代)嘧啶-5-羧酰胺

2.通過(guò)4,6-二羥基-2-甲巰基嘧啶合成4,6-二氯-2-(甲基硫代)嘧啶-5-羧酰胺

中華試劑網(wǎng)提醒:合成路線僅供參考