基本信息:
中文名稱 4,6-二氯靛紅
中文別名 4,6-二氯-1H-吲哚-2,3-二酮;
英文名稱 4,6-DICHLORO-1H-INDOLE-2,3-DIONE
英文別名 4,6-dichloro-indoline-2,3-dione;4,6-dichloroindolin-2,3-dione;4,6-dichloro-2,3-dihydro-1H-indole-2,3-dione;4,6-dichloroisatine;4,6-dichloroisatin;4,6-Dichlor-indolin-2,3-dion;
CAS號(hào) 18711-15-4
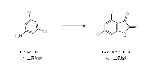
合成路線:
1.通過(guò)三氯乙醛和3,5-二氯苯胺合成4,6-二氯靛紅

2.通過(guò)3,5-二氯苯胺合成4,6-二氯靛紅

中華試劑網(wǎng)提醒:合成路線僅供參考