基本信息:
中文名稱 4-羥基-2-(2-吡啶)-5-嘧啶羧酸
英文名稱 6-oxo-2-pyridin-2-yl-1H-pyrimidine-5-carboxylic acid
英文別名 hydroxypyridinylpyrimidinecarboxylicacid;4-oxo-2-pyridin-2-yl-3,4-dihydro-pyrimidine-5-carboxylic acid;2-(2''-Pyridyl)-4-hydroxy-5-carboxypyrimidine;4-Oxo-2-(2-Pyridinyl)-1,4-Dihydro-5-Pyrimidinecarboxylic Acid;4-hydroxy-2-(2-pyridinyl)-5-pyrimidinecarboxylic acid;2-(2-Pyridyl)-4-hydroxy-5-carboxy-pyrimidin;4-Hydroxy-2-pyridin-2-ylpyrimidine-5-carboxylic acid;
CAS號 56406-45-2
合成路線:
1.通過2-脒基吡啶鹽酸鹽和乙氧基甲叉丙二酸二乙酯合成4-羥基-2-(2-吡啶)-5-嘧啶羧酸,收率約63%;

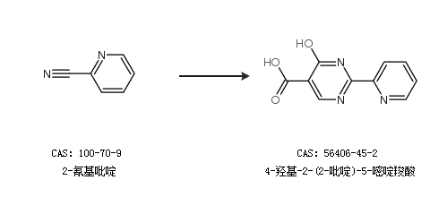
2.通過2-氰基吡啶合成4-羥基-2-(2-吡啶)-5-嘧啶羧酸

中華試劑網(wǎng)提醒:合成路線僅供參考