基本信息:
中文名稱 4-氧-纈紗坦芐酯
英文名稱 benzyl (2S)-3-methyl-2-[4-oxopentanoyl-[[4-[2-(2H-tetrazol-5-yl)phenyl]phenyl]methyl]amino]butanoate
英文別名 (S)-N-(4-Oxo-valeryl)-N-[(2''-(1H-tetrazol-5-yl)biphenyl-4-yl)methyl]valine benzyl ester;4-Oxo Valsartan Benzyl Ester;N-(1,4-Dioxopentyl)-N-[[2''-(1H-tetrazol-5-yl)[1,1''-biphenyl]-4-yl]methyl]-L-valine Phenylmethyl Ester;
CAS號 188240-32-6
合成路線:
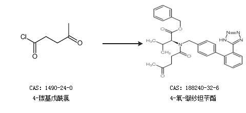
1.通過4-羰基戊酰氯合成4-氧-纈紗坦芐酯

中華試劑網提醒:合成路線僅供參考