基本信息:
中文名稱 4-乙基環(huán)己醇
中文別名 4-乙基環(huán)已醇;乙基環(huán)己醇(2COH);對乙基環(huán)己醇;
英文名稱 4-Ethylcyclohexanol
英文別名 Ethylcyclohexanol;4-ethylcyclohexanol,mixture of cis and trans;4-ethylcyclohexyl alcohol;1-Aethyl-cyclohexanol-(4);Cyclohexanol,4-ethyl;4-Aethylcyclohexanol;4-ethyl-cyclohexanol;4-Ethylcyclohexanol,cis+trans;
CAS號 4534-74-1
合成路線:
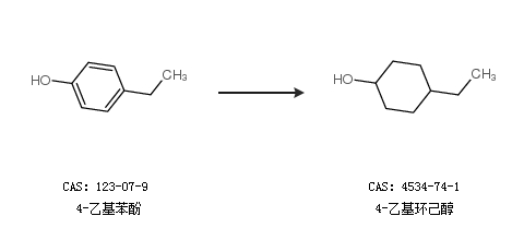
1.通過4-乙基苯酚合成4-乙基環(huán)己醇

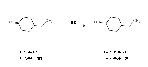
2.通過4-乙基環(huán)己酮合成4-乙基環(huán)己醇,收率約88%;

中華試劑網(wǎng)提醒:合成路線僅供參考