基本信息:
中文名稱 4''-乙基聯(lián)苯-4-醇
中文別名 4’-乙基聯(lián)苯-4-醇;
英文名稱 4-(4-ethylphenyl)phenol
英文別名 4-(p-Ethylphenyl)-phenol;4''-ethyllbiphenyl-4-ol;4''-ethylbiphenyl-4-ol;
CAS號(hào) 21345-28-8
合成路線:
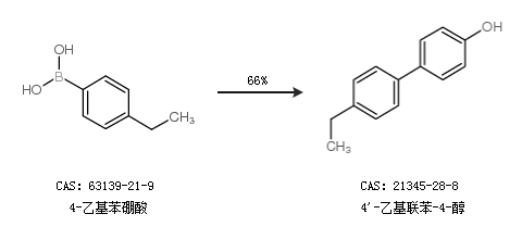
1.通過4-乙基苯硼酸合成4''-乙基聯(lián)苯-4-醇,收率約66%;

2.通過甲基溴化鎂合成4''-乙基聯(lián)苯-4-醇,收率約72%;

中華試劑網(wǎng)提醒:合成路線僅供參考